pearl_necklace

Colloidal spheres chained together with no preferential orientation

Parameter Description Units Default value
scale Source intensity None 1
background Source background cm-1 0.001
radius Mean radius of the chained spheres 80
edge_sep Mean separation of chained particles 350
thick_string Thickness of the chain linkage 2.5
num_pearls Number of pearls in the necklace (must be integer) none 3
sld Scattering length density of the chained spheres 10-6-2 1
sld_string Scattering length density of the chain linkage 10-6-2 1
sld_solvent Scattering length density of the solvent 10-6-2 6.3

The returned value is scaled to units of cm-1 sr-1, absolute scale.

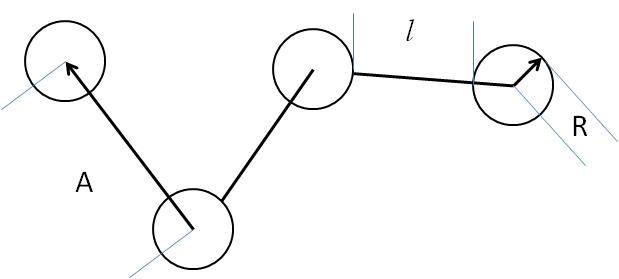
This model provides the form factor for a pearl necklace composed of two elements: N pearls (homogeneous spheres of radius R) freely jointed by M rods (like strings - with a total mass Mw = M * mr + N * ms, and the string segment length (or edge separation) l (= A - 2R)). A is the center-to-center pearl separation distance.

../../_images/pearl_necklace_geometry.jpg

Fig. 27 Pearl Necklace schematic

Definition

The output of the scattering intensity function for the pearl_necklace is given by (Schweins, 2004)

\[I(q)=\frac{ \text{scale} }{V} \cdot \frac{(S_{ss}(q)+S_{ff}(q)+S_{fs}(q))} {(M \cdot m_f + N \cdot m_s)^2} + \text{bkg}\]

where

\[\begin{split}S_{ss}(q) &= sm_s^2\psi^2(q)[\frac{N}{1-sin(qA)/qA}-\frac{N}{2}- \frac{1-(sin(qA)/qA)^N}{(1-sin(qA)/qA)^2}\cdot\frac{sin(qA)}{qA}] \\ S_{ff}(q) &= sm_r^2[M\{2\Lambda(q)-(\frac{sin(ql/2)}{ql/2})\}+ \frac{2M\beta^2(q)}{1-sin(qA)/qA}-2\beta^2(q)\cdot \frac{1-(sin(qA)/qA)^M}{(1-sin(qA)/qA)^2}] \\ S_{fs}(q) &= m_r \beta (q) \cdot m_s \psi (q) \cdot 4[ \frac{N-1}{1-sin(qA)/qA}-\frac{1-(sin(qA)/qA)^{N-1}}{(1-sin(qA)/qA)^2} \cdot \frac{sin(qA)}{qA}] \\ \psi(q) &= 3 \cdot \frac{sin(qR)-(qR)\cdot cos(qR)}{(qR)^3} \\ \Lambda(q) &= \frac{\int_0^{ql}\frac{sin(t)}{t}dt}{ql} \\ \beta(q) &= \frac{\int_{qR}^{q(A-R)}\frac{sin(t)}{t}dt}{ql}\end{split}\]

where the mass mi is (SLDi - SLDsolvent) * (volume of the N pearls/rods). V is the total volume of the necklace.

The 2D scattering intensity is the same as \(P(q)\) above, regardless of the orientation of the q vector.

The returned value is scaled to units of cm-1 and the parameters of the pearl_necklace model are the following

NB: num_pearls must be an integer.

../../_images/pearl_necklace_autogenfig.png

Fig. 28 1D plot corresponding to the default parameters of the model.

References

R Schweins and K Huber, Particle Scattering Factor of Pearl Necklace Chains, Macromol. Symp. 211 (2004) 25-42 2004